PP电子游戏网站
网站首页
学院概况
学院简介
历史沿革
教授治学
现任领导
机构设置
行政机构
基层学科组织
基层学术组织
实验中心
师资队伍
杰出人才
教师名录
诚聘英才
人才培养
本科生招生
本科生教学
专业设置
质量工程
平台建设
培养方案
研究生培养
学位点设置
质量工程
培养方案
博士后流动站
科学研究
研究方向
平台建设
重大成果
材料与冶金学报
学生园地
学生活动
团学工作
榜样引领
党建引领
党建活动
安全工作
学校制度
学院制度
安全知识
廉政纪检
纪检活动
廉政教育
科学家精神教育基地
基地介绍
基地风采
预约方式
科学家故事
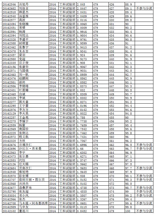
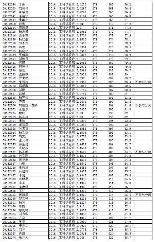
PP电子游戏网站2016级在籍学生专业排名及绩点
发布时间:2017-07-31
浏览次数:
7011